了解球透镜
球透镜是一种非常有用的光学元件,用于提高光纤、发射器及检测器之间的信号耦合。此外,它也适用于内镜、条码扫描、非球面透镜的预加工材料和传感器等应用。球透镜采用单一玻璃基片制造而成,可以聚焦或输出平行光,取决于输入源的几何形状。半球透镜也很常见,在应用的物理约束要求更紧凑型的设计的情况下,与(全)球透镜交换使用。
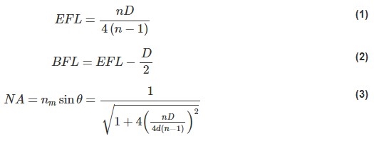
使用球透镜的基本方程式
共有五种需要了解和使用球透镜的主要参数(图1):输入源的直径 (d)、球透镜的直径 (D)、球透镜的有效焦距 (EFL)、球透镜的后焦距 (BFL) 和球透镜的折射率 (n)。

图 1: 主要参数
EFL 的计算方法非常简单(方程式1),这是因为它只有两种变量:球透镜的直径 (D) 和折射率 (n)。EFL是从球透镜的中心开始测量的,在图1中标示为R。一旦计算出EFL和D后,即可轻易地计算出BFL(方程式2)。数值孔径NA(方程式3)则取决于EFL和d。它通常被引用及经常用来代替d/D。

由于经常使用NA,因此图2说明了随着输入光源直径(d)的提高NA值将增大。

图 2: 爱特蒙特光学®提供的球透镜玻璃类型的数值孔径与直径的对比。
应用范例
范例1:激光到光纤的耦合
将激光的光耦合到光纤时,球透镜的选择将取决于光纤的 NA 和激光光束的直径或输入源。激光光束的直径用来确定球透镜的 NA。球透镜的 NA 必须低于或与光纤的 NA 相同,以耦合所有的光。光纤与球透镜间的接触所图 3 所示。

图 3: 激光到光纤的耦合
初始参数
输入激光光束的直径 = 2mm
球透镜的折射率 = 1.517
光纤的数值孔径 = 0.22
计算参数
球透镜的直径> 6-8 毫米的 N-BK7 球透镜直径(折射率为 1.517)非常适合将 2 毫米的激光源耦合到 0.22NA 的光纤。可以轻易尝试不同的折射率以查找激光到光纤耦合应用的球透镜。
范例 2:光纤到光纤的耦合
为了将其中一个光纤的光耦合到另一个具有相同 NA 的光纤,必须使用两个相同的球透镜。将两个球透镜与光纤放在一起,如图 4 所示。如果光纤具有相同的 NA,则可应用如范例 1 所示的相同逻辑。

图 4: 光纤到光纤的耦合
版权所有 © 2025 江阴PA视讯光电技术有限公司 备案号:苏ICP备40959605号-1 技术支持:化工仪器网 管理登陆 GoogleSitemap