了解并激光元件的激光损伤阈值(LIDT)
激光诱导损伤阈值 (LIDT) 在 ISO 21254 中定义为,“光学器件推测的损伤概率为零的激光辐射量”。1LIDT 旨在激光器在损伤发生前能够承受的大激光能量密度(脉冲激光器,通常以 J/cm2 为单位)或大激光强度(连续波激光器,通常以 W/cm2 为单位)。由于激光损伤试验的统计性质,LIDT 不能被视为低于此值则不会发生损伤的能量密度,而是低于此值则损伤概率小于临界风险水平的能量密度。风险水平取决于几个因素,如光束直径、每个样品的测试点数量,以及为了确定规格而测试的样品数量。
光学组件中的激光损伤会导致系统性能降低,甚至可能因此导致灾难性的故障。对 LIDT 理解不正确可能会导致成本显著提高或组件故障。尤其是在处理高功率激光时,LIDT 是各类激光光学组件(包括反射性、透射性和吸收性组件)的重要规格。业界在如何测试 LIDT、如何检测损伤以及如何解释测试数据方面缺乏共识,这使得 LIDT 成为一个复杂的规格。LIDT 值本身并不表示用于测试的光束直径、管理的每个测试点的样本数量或测试数据的分析方式。
LIDT 简介
为了确定激光器的强度是否会对光学元件造成损伤,需要对激光的功率、光束直径以及激光是连续波还是脉冲等规格进行检查。对于脉冲激光器,还必须考虑脉冲持续时间。
激光强度:不像看起来那么简单
激光束的强度是指单位面积的光功率,通常以 W/cm2 为单位测量。激光在光束横截面上的强度分布就是强度分布。常见的强度分布包括平顶光束和高斯光束。平顶光束(或称顶帽光束)在光束横截面上的强度分布是恒定的。高斯光束的强度曲线依照高斯函数,随距离光束中心的距离增加而减小。高斯光束的峰值能量密度是具有相同光功率的平顶光束的两倍(图 1)。

图 1: 相同光功率下的高斯光束和平顶光束的比较2
高斯光束的有效光束直径也会随着能量密度成比例地变化。 随着注量的增加,光束宽度的较大部分具有足够的注量,可以引发激光引起的损坏(图2)。 可以通过使用平顶光束代替高斯光束来避免这种情况(有关高斯光束的更多信息,请参见我们的高斯光束传播应用说明)。

图 2: 高斯光束的有效直径随能量密度的增加而增加,并导致激光诱导损伤的概率升高,表现为能量密度大的曲线宽度下的损伤点更多
激光的强度在确定与其一起使用的光学元件所需的 LIDT 方面起着重要作用。一些激光还包括一些其它产生热点因素的区域,它们可能会导致激光诱导损伤。
连续波激光器:
连续波 (CW) 激光器的损伤通常是由于光学镀膜或基片吸收引起的热效应造成的。3 由于胶合剂的吸收或散射,胶结光学元件(如消色差)的连续波损伤阈值往往较低。
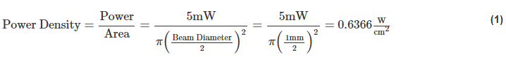
要了解 CW LIDT 规格,必须了解激光器的波长、光束直径、功率密度和强度分布(如高斯或平顶)。CW 激光器的 LIDT 表示为单位面积的功率,通常用 W/cm2 表示。例如,如果使用 5mW, 532nm Nd:YAG 激光,且平顶光束的直径为 1mm,则功率密度为:

因此,如果为光学元件的 LIDT 小于 0.64W/cm2,那么在 532nm时,用户将面临光学损伤的风险。如果使用高斯光束,则需要添加额外的系数。
脉冲激光器:
脉冲激光器以给定重复频率发射激光能量的离散脉冲(图 3)。每个脉冲的能量与平均功率成正比,与激光器的重复频率成反比(图 4)。

纳秒级短激光脉冲造成的损伤通常是由于暴露在激光束的高电场中导致材料的介电击穿。2 当电流流过绝缘体时,由于施加的电压超过了材料的击穿电压,就会发生介电击穿。对于较长的脉冲宽度或重复率较高的激光系统,激光诱导损伤可能是由热诱导损伤和介电击穿结合造成的。这是因为脉冲持续时间仍然与电子晶格动力变化的持续时间有关,而电子晶格动力变化是导致热损伤的原因。对于持续时间约为10ps 或更少的超短脉冲,这些热工过程可以忽略不计。4 在这种情况下,通过多光子吸收、多光子电离、隧穿电离和雪崩电离等机制,从价带到导带的电子的非线性激发会导致损伤。5
图 3: 脉冲激光的脉冲随时间按重复率的倒数分离
图 4: 描述取决于脉冲激光器在给定平均功率下的重复率的脉冲能量
脉冲激光器的 LIDT 为以 J/cm2 为单位的能量密度,而不是功率密度。务必认识一点,尽管 J/cm2 不包含时间单位,但损伤阈值取决于脉冲持续时间。在大多数情况下,LIDT 能量密度值会随着脉冲持续时间的增加而增加。要了解脉冲 LIDT 规格,必须了解激光器的波长、光束直径、脉冲能量、脉冲持续时间、重复频率和强度分布(如高斯或平顶)。脉冲激光器的能量密度,脉冲能量和光束直径之间的关系定义如下:

例如,脉冲能量为 10mJ,脉冲持续时间为 10ns,光束直径为 10ns 的Q 开关(脉冲)激光器将具有以下能量密度:

千焦耳级别的能量密度值高得令人难以置信,而且几乎肯定会损坏光学元件,因此在计算中务必考虑光束直径而不仅仅是激光能量。
损伤机制:
除了热积累和介质击穿之外,激光诱导损伤还可能由激光与某种缺陷的相互作用引起。缺陷包括研磨和抛光过程留下的表面下损伤、光学元件上留下的抛光磨粒的极小颗粒,或镀膜上留下的一团团金属元素。每个缺陷源都表现出不同的吸收特性,因为任何给定缺陷的性质和大小都将决定光学元件在不造成损伤的情况下能够承受的激光强度。
如前所述,脉冲持续时间对导致激光损伤的机制有很大的影响(图 5)。飞秒到皮秒量级的脉冲持续时间可以激发从材料的价带到导带的电荷载子,进而导致非线性效应,包括多光子吸收、多光子电离、隧道电离和雪崩电离(表 1)。通过载波-载波散射和载波-声子散射,将载子从导带驰豫到价带,皮秒到纳秒量级的脉冲持续时间就可能导致损伤。

图 5: 不同激光诱导损伤机制的时间依赖性6
损伤机制 | 描述 |
多光子吸收 | 能量低于材料带隙能量的两个或多个光子同时被吸收,使吸收不再与强度成线性正比的吸收过程。 |
多光子电离 | 吸收两个或两个以上光子,其联合能量导致材料中原子光电离的过程。 |
隧穿电离 | 超短激光脉冲产生的强电场使电子通过“隧道”穿过使其与原子结合的潜在屏障,使它们得以逃脱的过程。 |
雪崩电离 | 超短激光脉冲产生的强电场使电子加速并与其他原子碰撞的过程。这会使它们电离并释放更多电子,并继续电离其他原子。 |
载子间散射 | 被电场加速的电子与其他电子发生碰撞,使它们散射并与更多电子发生碰撞的过程。 |
载子-声子散射 | 被电场加速的电子激发声子或材料晶格中的振动的过程。 |
介质击穿 | 由于施加的电压超过材料击穿电压而使电流流经绝缘体的过程。 |
热效应 | 由激光脉冲能量引起的材料扭曲和振动所导致的热扩散。 |
表 1: 不同损伤机制的说明
不同的损伤根源产生不同的激光诱导损伤形态(图 6)。了解这些形貌对于镀膜和工艺的发展很重要,但对于激光光学应用来说,形态学仅对确定损伤是否会显著降低激光系统的性能很重要。系统能够处理的性能下降程度取决于应用。例如,在某些情况下可以容忍透射降低 10%,但在另一个系统中,如果散射的入射光超过 1%,就可能出现故障。根据 ISO 21254:2011 标准,激光元件在暴露于激光后出现的可察觉变化都被认为是损伤。
图 6: 不同根源引起的不同激光损伤形态
按比例缩放 LIDT:
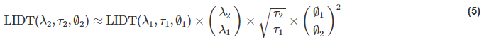
务必记住,损伤阈值取决于波长和脉冲持续时间。如果光学元件的 LIDT 的波长或脉冲持续时间与应用情况不同,则必须在应用条件下对 LIDT 进行评估。尽可能避免 LIDT 按比例缩放;尽管很难提供适用于所有情况的严格缩放规则,但存在将 LIDT 值从原始波长 (λ1) 和脉冲持续时间 (τ1) 按比例缩放到新波长 (λ2) 和脉冲持续时间 (τ2) 的一般规则。7

这种按比例缩放不应该应用于较大的波长或脉冲持续时间范围。例如,对于从 1064nm 偏移到 1030nm 的波长,等式 3.5 就足够了,但是不应该将 1064nm 的 LIDT 值缩放到一个*不同的波长,例如355nm。
参考文献
版权所有 © 2025 江阴PA视讯光电技术有限公司 备案号:苏ICP备40959605号-1 技术支持:化工仪器网 管理登陆 GoogleSitemap